확률분포 정리
## Uniform Distribution
특정 구간 내의 값들이 나타날 가능성이 모두 균등한 확률 분포를 의미

| \( E(X) \) | \(\frac{1}{2}(a+b) \) |
| \( Var(X) \) | \( \frac{1}{12}(b-a)^{2} \) |

## Bernoulli distribution
확률 변수가 성공과 실패 두 결과 중 오직 하나로 나타나는 베르누이 시행의 결과에 대한 확률분포
성공과 실패의 2가지 경우만 존재

| \( E(X) \) | \( p \) |
| \( Var(X) \) | \( p(1-p) = pq \) |

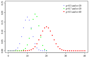
## Binomial distribution
Bernoulli 시행을 독립적으로 n번 반복했을 때 나타나는 결과에서 성공의 횟수에 관한 확률분포

| \( E(X) \) | \( np \) |
| \( Var(X) \) | \( np(1-p) = npq \) |

## Negative Binomial distribution
성공 확률이 p, 실패확률이 1-p인 연속적인 베르누이 시행에서 x 번째 성공 전까지 실패 횟수

| \( E(X) \) | \( \frac{pr}{1-p}\) |
| \( Var(X) \) | \( \frac{pr}{(1-p)^2} \) |

## Normal (Gaussian) distribution
평균 근처에서 확률 변수 값이 발생할 확률이 높고, 평균에서 멀어질수록 그 확률이 감소하는 종모양의 분포
Binomial Distribution을 정규근사

| \( E(X) \) | \( \mu \) |
| \( Var(X) \) | \( \sigma^2 \) |

표준 정규 분포 : \( \mu \) = 0, \( \sigma)\)=1
$$ Z = \frac{X-\mu}{\sigma} $$
## Geometric distribution
성공의 확률이 p인 Bernoulli 시행을 독립적으로 반복하여 실시할 때 첫 성공이 나타날 때 까지의 실행 횟수에 대한 확률 분포

| \( E(X) \) | \( \frac{1}{p}\) |
| \( Var(X) \) | \( \frac{1-p}{p^2} \) |

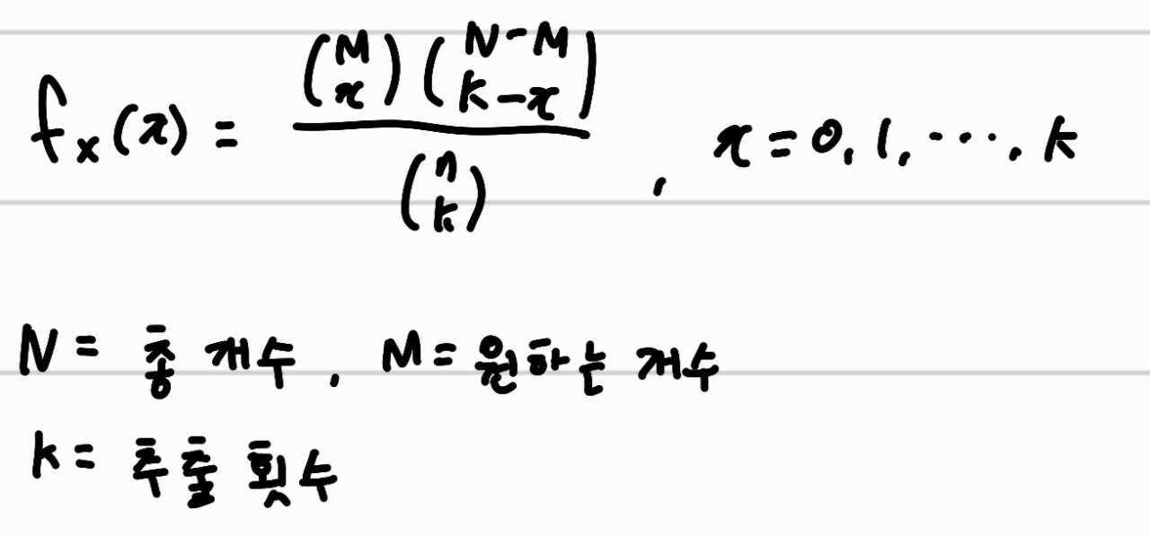
## Hypergeometric distribution
N개의 원소로 구성된 모집단에서 비복원 추출 방법에 의해 뽑혀진 표본에서의 확률분포

| \( E(X) \) | \( \frac{kM}{N}\) |
| \( Var(X) \) | \( \frac{kM}{N}(\frac{(N-M)(N-K)}{N(N-1)}) \) |

[기초통계] 초기하분포 의미 및 개념 정리
초기하분포 의미 및 개념 정리
losskatsu.github.io
## Multinoulli distribution
Bernoulli 시행의 확장으로 성공과 실패 2가지 경우가 아닌 3가지 이상의 경우로 시행한 결과의 분포

| \( E(X_i) \) | \( p_i\) |
| \( Var(X_i) \) | \( p_{i}(1-p) \) |
## Multinomial distribution
Multinoulli 시행을 n번 반복하였을 때 각 결과가 특정 수만큼 나타날 확률에 대한 분포

| \( E(X_i) \) | \( np_i\) |
| \( Var(X_i) \) | \( np_{i}(1-p) \) |

## Poisson distribution
일정 기간에 희귀한 사건이 발생할 건수의 분포

| \( E(X) \) | \( \lambda \) |
| \( Var(X) \) | \( \lambda \) |

## Exponential distribution
사건이 발생할 때(포아송분포를 따름) 지정된 시점으로부터 이 사건이 일어날 때 까지 걸린 시간을 측정한 확률분포

| \( E(X) \) | \( \frac{1}{\lambda} \) |
| \( Var(X) \) | \( \frac{1}{\lambda^2} \) |

Exponential Distribution의 무기억성(Memoryless property) : 어떤 시점부터 소요되는 시간은 과거 시간에 영향을 받지 않는다 (기하분포도 무기억성 가짐)

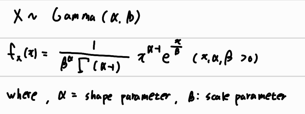
## Gamma distribution
Exponential distribution은 한 번의 사건에 대한 시간을 측정한 확률 분포임에 반해 Gamma distribution은 여러 번의 사건이 나타날 때의 측정한 확률 분포.
즉, Exponential distribution은 gamma distribution의 \( \alpha \)가 1일 때를 의미

\( \Gamma(\alpha) = (\alpha -1)! \) , \( \Gamma(\alpha) = (\alpha -1)\Gamma (\alpha-1) \) , \( \Gamma(\frac{1}{2}) = \sqrt{\pi} \) 가 \( \Gamma \) 함수 공식
| \( E(X) \) | \(\alpha \beta \) |
| \( Var(X) \) | \(\alpha \beta ^{2}\) |

## Beta distribution
확률에 대한 확률분포. 베이지안에서 사전 분포로 쓰임
모수에 따라 다양한 형태로 변형 가능하기 때문

| \( E(X) \) | \frac{\alpha}{\alpha + \beta} |
| \( Var(X) \) | \(\frac{\alpha \beta}{(\alpha+\beta)^{2}(\alpha + \beta + 1)}\) |

## Distribution 관계도

## Reference
Suri's Data Journal
Published March 12, 2021 문제 https://www.acmicpc.net/problem/17626 라그랑주는 1770년에 모든 자연수는 넷 혹은 그 이하의 제곱수의 합으로 표현할 수 있다고 증명하였다. 어떤 자연수는 복수의 방법으로 표현
soohee410.github.io
https://losskatsu.github.io/statistics/betadist/#%EC%B0%B8%EA%B3%A0%EB%A7%81%ED%81%AC
[기초통계] 베타분포 의미 및 개념 정리
베타분포 의미 및 개념 정리
losskatsu.github.io
https://blog.naver.com/pwbrain/60049866617
[확률분포] 확률분포 정리
우리 착한 직원이 열심히 정리한 분포 개념 정리표임 구분 확률분포 설명 이산형 균일분포 (Discrete Uni...
blog.naver.com