Rank 계산
## Rank 구하는 방법(간단히)
A를 m x n matrix라고 했을 때 A로 이동하는 범위 Im A는 n차원 벡터 x를 움직이는 경우 y = Ax의 움직일 수 있는 범위이다.
개념이 헷갈리면
2021.12.28 - [Linear Algebra] - 정칙행렬이 아닌 경우
2021.12.31 - [Linear Algebra] - 차원 정리 및 Rank
차원 정리 및 Rank
## 차원 정리 차원 정리는 다음과 같이 이뤄진다 행렬의 개념으로 먼저 보자. 행렬 A는 mxn 행렬이라고 할 때 다음과 같은 성질을 만족한다. $$ dim \ Ker \ A + dim \ Im \ A \ = n $$ 따라서 이와 같은 정리
bigdata-analyst.tistory.com
참고하면 된다.
다시 한 번 정리하면 선형공간에서 y의 값이 움직일 수 있는 범위를 Im A(A의 상) 이라고 한다. 이 때 A의 상의 집합을 span이라고 한다. 그리고 span의 차원을 rank라고 한다.
벡터 a의 차원은 선형 독립일 때는 n 이 되지만, 선형 종속일 때는 n보다 작다. 이 때, 선형 종속일 때 a의 차원을 어떻게 구하는지가 궁금한 것이다. 이는 앞서 말한채로 span의 차원을 따지면 되지만 이를 수학적 증명(?) 이라기엔 귀여운 것으로 한 번 풀어본다.

위와 같은 형태로 y를 변환시킬 수 있다. 이러면 n개의 x를 움직인다해도 y는 \( span \{ b_1, ...b_r } \) 범위 안에 있다. 여기서 span의 차원은 많아야 r 차원이 된다. 그러면 a의 span 차원 또한 r 차원 보다 작거나 같다. 즉, n 개의 a 벡터이지만 개수만 n 개이지 r 차원 이 되는 것이다. 이를 rank라 하고 즉, b의 개수가 a의 차원 rank a 이다.
이런 b의 차원의 개수를 찾는 것은 구성이 간단한 행렬에선 구하기 쉽다.
다음의 3개의 matrix를 한 번 봐보자

위 3개의 matrix는 모두 rank가 3인 행렬이다. 그리고 위 행렬은 모두 행사다리꼴 형태이다. (B 행렬은 간단한 기본행 조작으로 변환시킬 수 있다.)
이러한 형태를 가진 행렬이 있을 때 우리는 한 행이 모두 0인 행을 제외한 나머지 행의 개수를 rank라고 할 수 있다.
## 손으로 푸는 rank 계산
앞서 언급했듯이 rank는 행사다리꼴의 matrix에서 0이 아닌 행의 개수를 말한다. 즉 다시 말하면 치역의 차원이다.
이를 구하기 위해선 matrix 하나를 Transpose한 후 그 다음에 기본행 연산을 통해 행사다리꼴의 형태를 만든 후 치역의 차원을 구하는 것이다.
예를 들면 다음과 같다.

B를 먼저 Transpose 한 후 기본행 조작을 한다. 그리고 여기서 0이 아닌 행의 개수를 구한다. 이러면 rank이다.
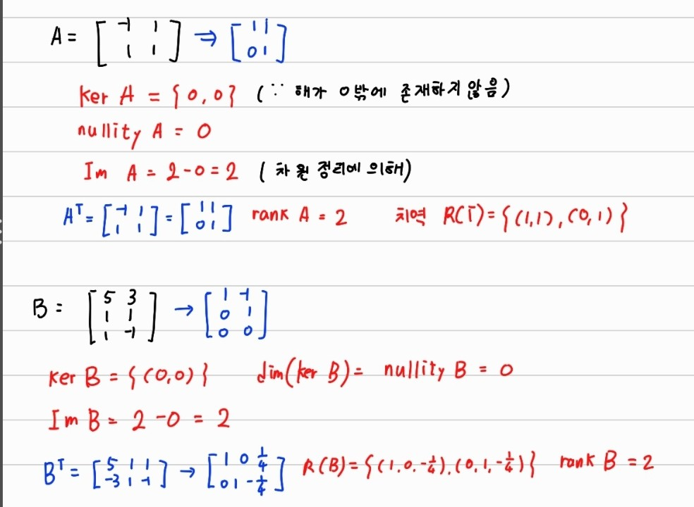
## 종합
이제 matrix에 대해 핵(Ker), 상(Image), 정의역(nullity), 랭크(rank), 치역을 구하는 법을 종합적으로 예시를 통해 풀어보겠다.

모두 시작은 기본행 연산으로 matrix 형태를 행사다리꼴 형태로 만들어줘야한다.
Ker를 구하기 위해선 모두 해가 0일 때로 생각하고 접근하여 푼다. 그리고 정의역 nullity는 dim( Ker) 이다.
다음으로 image를 구하기 위해서는 차원 정리 mxn matrix에서 dim Ker A + dim Im A = n 를 이용하여 계산한다.
그리고 마지막으로 치역은 행렬에서 Transpose한 후 행 사다리꼴 형태(대신 대각행렬은 모두 1) 일 떄 0이 아닌 모든 행들을 치역의 기저들이고 그리고 이 치역의 기저들의 차원이 rank 이다.