2021.12.26 - [Linear Algebra] - 정칙행렬의 연립방정식 풀이
정칙행렬의 연립방정식 풀이
정칙행렬이란 square matrix이고 행렬식 det가 0이 아닌 행렬을 말한다. 이러한 정칙행렬으로 연립방정식을 풀 수 있다. 하나의 예를 통해서 문제를 풀어나가겠다. $$ \begin{cases} 2x_1 + 3x_2 + 3x_3 = 9 \\ 3x.
bigdata-analyst.tistory.com
앞서 정칙행렬인 경우의 연립방정식 풀이 및 역행렬을 구하는 과정을 알아보았다.
하지만 그러면 해가 없거나 무수히 많은 경우는 어떻게 풀이를 할까?
해가 없거나 무수히 많은 경우는 즉, 정칙행렬이 아닐 때이다. 이는 다시 말해서 \( y = Ax \) 형태일 때, 일단 square matrix가 아니라는 것이다.(square matrix이어도 해가 없거나 무수히 많은 경우는 존재하지만 추후에 설명한다.)
해가 없는 경우는 대표적으로 단서가 부족할 때이다.
\( y = Ax \)에서 A의 shape이 가로로 긴 형태 즉, mxn matrix에서 m = 2, n = 3 일 때이다. 이러면 y의 shape은 2x1이 되고 이는 x의 3차원에서 y의 2차원으로 옮기는 mapping이 되는 것이다. 이렇게 되면 해는 0일 경우밖에 없어진다.
반대로 mxn matrix에서 m = 3 n = 2로 세로로 긴 형태는 y shape은 3x1 형태가 되고 이러면 너무 많은 단서가 있기 때문에 해가 무수히 많아지게 된다.
여기서 mapping , 한국말로 사상이라고 하는 것은 다음과 같은 정의를 따른다.
Mapping (사상) : V와 W가 벡터 공간일 때, V에 있는 각 벡터에 대해서 W에 있는 유일한 한 벡터와 결합시키는 함수를 T라 하면 T는 V를 W로 mapping 한다고 한다. 식은 다음과 같다.
$$ T : V \rightarrow W $$
또한, 이와 더불어 상(image)라는 개념이 있다.
상(image) : T가 벡터 W를 벡터 V와 결합시키면 W = T(V)로 표시하고 W는 T에 의한 V의 상이라고 한다. 식은
$$ W = T(V) $$
이고 W는 T에 의한 V의 상이라고 한다. 그리고 행렬로 표현하면 표기는 \( Im A \) 라고 한다.
이러한 용어에 대해서 정리하였으니 이와 관련된 또 다른 용어에 대해서 정리해보겠다.
핵(Kernel) : 위 용어 정리에서 \( T : V \rightarrow W \) 가 선형변환일 때 T가 O로 mapping 되는 V 내의 모든 벡터들의 집합을 T의 핵이라고 하고 \( Ker(T) \)로 표시한다.
$$ Ker(T) = \{ x \in V | T(x)=0 \} $$
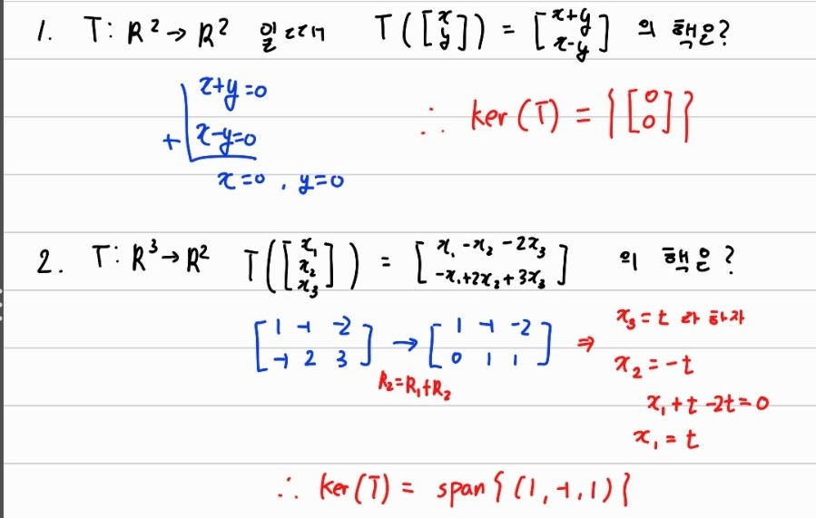
Ker에 대한 간단한 예시를 통해 더욱 알아보겠다.

핵을 구하는 방법은 다음과 같다.
해당하는 식이 있을 때 그 식은 모두 0 이라는 것을 생각하고 풀어야한다.
그래서 1번 문제를 보면 연립방정식을 통해 x+y = 0, x-y=0 이런 방식으로 연립방정식을 푼다. 이 결과 Ker(T) = {(0,0)} 이 된다.
다음으로 2번 문제를 보면 3차원에서 2차원으로 mapping 하는 과정이다. 이 때 식에 대해서 가우스 소거법을 사용하여 연립방정식을 푼다. 그리고 변수 하나를 t로 둔다. 이러한 방식으로 \( x_3 = t\)로 두어 문제를 풀어나간다.
이렇게 되면 다음의 식은 \( t(1,-1,1)^T \)로 변환된다. 따라서 T에 대한 핵은 span{(1,-1,1)} 이 된다. 여기서 span은 t라는 미지수에 대한 것으로 무수히 많은 변수를 포괄한다는 의미로 쓰인다.
다음으로 특이행렬에 대해서 알아보자
특이행렬은 det A = 0인 행렬을 말한다. 즉 이는 square matrix여도 역행렬이 없는 행렬을 말하고 연립방정식에서는 해가 존재하지 않거나 무수히 많을 수 있다는 것을 말한다.
지금까지 정리한 개념을 마지막으로 정리해보겠다.
- 만약 Ker A가 원점 O 행렬일 뿐이면 mapping은 단사(1대1 사상)이다.
- Im A가 치역에 일치하면 사상은 전사(공역 = 치역)이다.
차원 정리 및 추후 개념들은 다음 포스팅을 통해 정리한다.
'Linear Algebra' 카테고리의 다른 글
| Rank 계산 (0) | 2022.01.02 |
|---|---|
| 차원 정리 및 Rank (0) | 2021.12.31 |
| 정칙행렬의 연립방정식 풀이 (0) | 2021.12.26 |
| Vector,Matrix 기본(2) (0) | 2021.12.25 |
| Vector, Matrix 기본(1) (0) | 2021.12.24 |
댓글