정칙행렬이란 square matrix이고 행렬식 det가 0이 아닌 행렬을 말한다.
이러한 정칙행렬으로 연립방정식을 풀 수 있다.
하나의 예를 통해서 문제를 풀어나가겠다.
$$ \begin{cases} 2x_1 + 3x_2 + 3x_3 = 9 \\ 3x_1 + 4x_2 + 2x_3 = 9 \\ -2x_1 - 2x_2 + 3x_3 = 2 \end{cases} $$
위와 같은 연립방정식이 있다고 할 때 이는 보통 변수 소거법을 통해 풀게 된다.
풀이는 다음과 같다.

이 식을 설명하기에는 너무 기초이므로 생략한다.
이러한 연립 방정식을 변수소거법이 아닌 행렬 형태의 기본행 연산을 통해 풀이할 수 있다.
## 기본행 연산
기본행 연산은 다음의 3가지 법칙을 섞어서 사용하는 것이다.
- 한 행에 0이 아닌 상수 \( \alpha \) 를 곱한다. 이를 \( \alpha R_{i} \)로 나타낸다. (i = 행 번호)
- 두 행의 순서를 바꾼다. 이를 \( R_i \leftrightarrow R_j \)로 나타낸다.
- 한 i 행을 상수 \( \alpha \) 배 하여 다른 행 j에 더한다. 이를 \( R_j + \alpha R_{i} \)로 나타낸다.
이러한 기본행 연산을 이용하는 것이 Gauss 소거법과 Guass-Jordan 방법이다.
가벼운 하나의 예시로 설명을 생략한다.

## Gauss & Gauss Jordan 소거법
- 전부는 0이 아닌 행에서 0 아닌 첫번째 숫자는 1이다. (이를 선도=1 이라고 명칭하자)
- 전부 0인 행들이 있다면 이러한 행들은 행렬의 맨 아래에 모여있다. (기본행 연산 2번째 적용)
- 전부는 0이 아닌 연속되는 두 행에서 아랫행의 선도 1은 윗행의 선도 1보다 오른쪽에 나타난다.
- 선도 1을 포함하는 각 열에서 선도 1을 제외한 나머지 원소들은 모두 0이다
이러한 4가지 규칙에서 1~3번을 만족하면 Gauss 소거법이고 4가지를 모두 만족하면 Gauss-Jordan 소거법이다.
이렇게 말만 하면 이해가 어려우니 실제 값의 풀이를 통해서 비교한다.
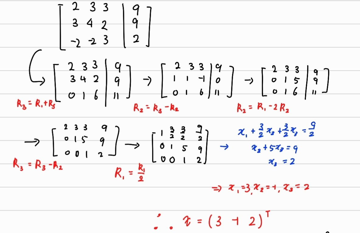
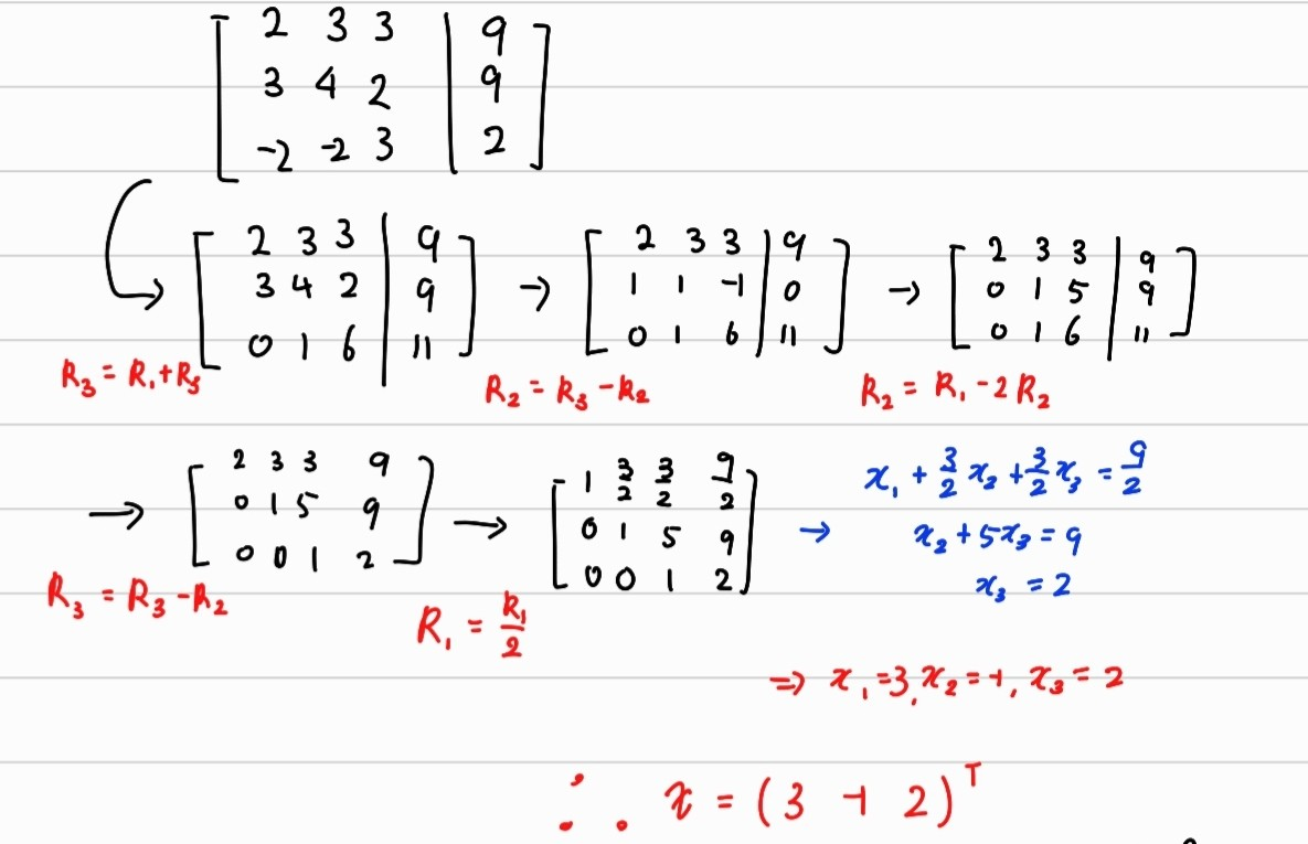
일단 그 전에 앞에 예시에서 나온 방정식을 블록 행렬로 표현한다.
앞의 방정식은 Ax = b 의 형태를 가진다. 다음의 형태이다.

이러한 행렬곱으로 이루어진 연립방정식 형태에서 (A|b) 형태로 블록행렬을 만든다. 즉, 다음과 같은 형태이다.

이러한 형태를 갖고 Gauss 소거법을 수행한다.

기본행 연산을 통해 행렬을 변환시키고 한 변수가 나왔을 때 행렬 변환을 멈춘다. 그리고 첫 행의 첫번째 원소는 1을 만들어준다. 그리고 변수 소거법을 통해 답을 도출한다.
개인적으로 선호하는 연산이다.
다음은 Gauss-Jordan 소거법이다.

가우스 소거법과 동일하게 진행은 되지만 추가적으로 블록행렬으로만 모두 푸는 방법이다. 즉 블록행렬에서 A 부분이 항등행렬 I가 될 때까지 변환을 계속한 후 답을 취하는 것이다.
이러한 Gauss-Jordan 방식으로 역행렬의 풀이도 가능하다.
## Gauss-Jordan 방식을 이용한 역행렬 풀이
Ax = b 형태로 연립방정식이 형성되기 때문에 x의 해를 구하기 위해선 \( A^{-1}Ax = A^{-1}b \) 식을 통해 x를 풀이할 수 있다.
역행렬을 구하기 위해서 이도 블록행렬 형태로 (A|I)의 형태를 가진 블록행렬을 먼저 만들어야한다.
그리고 이 블록행렬에서 (A|I)가 (I|B)의 형태로 기본행 연산을 통해 변환시켜준다. 여기서 B는 \( A^{-1} \)이 된다.
위의 행렬의 역행렬을 구하는 과정은 다음과 같다.

일부러 아까와 다른 기본행 연산을 통해서 계산하였다. 즉, 기본행 연산의 순서는 중요하지 않다.
이러한 풀이를 통해 역행렬을 계산할 수 있다.
하지만 이러한 풀이는 정칙행렬 즉, 역행렬이 존재할 때 가능한 풀이 방법이다.
이후엔 역행렬이 존재하지 않는 행렬(특이행렬)과 또한, 해가 무수히 많은 경우, 해가 없는 경우에 대해서 알아보도록 한다.
'Linear Algebra' 카테고리의 다른 글
| Rank 계산 (0) | 2022.01.02 |
|---|---|
| 차원 정리 및 Rank (0) | 2021.12.31 |
| 정칙행렬이 아닌 경우 (0) | 2021.12.28 |
| Vector,Matrix 기본(2) (0) | 2021.12.25 |
| Vector, Matrix 기본(1) (0) | 2021.12.24 |
댓글