원 논문
Auto-Encoding Variational Bayes
How can we perform efficient inference and learning in directed probabilistic models, in the presence of continuous latent variables with intractable posterior distributions, and large datasets? We introduce a stochastic variational inference and learning
arxiv.org
참고 자료
www.youtube.com/watch?v=KYA-GEhObIs
garden-k.medium.com/testing-b3966b642cf5
Testing
논문 ‘Auto-Encoding Variational Bayes’에 대한 리뷰 및 코드 실습 페이지입니다. 테스트 중.
garden-k.medium.com
지금까지 읽은 논문이 몇개 안되지만 남들은 쉽다고 하는데 나한텐 너무 어려운 논문이었다... 생각보다 경제학 수업에서 배운 수학식이 나와서 그나마 감은 잡았지만...감만 잡았다..문송합니다..
이 논문은 거의 수식이 전부인 논문이라고 해도 과언이 아니다. loss 를 계산하기 위한 과정 만들어가는 것을 가장 중요시 하는 논문이라고 생각한다.
논문의 흐름대로 따라가진 않고 주요 개념들만 살펴보면서 정리해보겠다
## 알고있어야 하는 지식들
- Manifold hypothesis : 고차원 데이터라 할지라도, 실질적으로 해당 데이터를 나타내주는 저차원 공간인 manifold가 존재한다는 것을 의미. (ref. wiserloner.tistory.com/1137)
- AutoEncoder

input data x를 저차원의 잠재변수(latent variables = z)로 차원 축소한 뒤, 다시 입력 데이터에 가까운 y = x' 로 복원하는 구조의 모델이다. encoder 뒤에 디코더를 붙이고 출력해야하는 정답 데이터로 입력데이터를 사용하면서 self-supervised learning이 가능해짐.
- 수학 식

-> 전체 확률 분포에 대해서 적분하면 1이다.

-> 조건부 확률

- > 기대값

- Maximum Likelihood Estimation(MLE)

어떤 확률 변수에서 샘플값들을 토대로 확률 변수의 모수를 구하는 방법
X = 어떠한 확률분포의 값(샘플 값)의 집합, θ = 어떤 분포의 모수
ref. sanghyukchun.github.io/58/
## Variational inference
Variational inference는 어떠한 예측 확률값을 알고 싶을 때, 이와 비슷한(approximate) 확률분포를 생성하고 두 확률 분포 간의 차이를 KLD를 통해 계산하여 이를 최소화 시키는 방법이다. 이 때 비슷한 분포는 계산이 편리한 분포여야되기 때문에 가우시안 분포를 따른다.

p 분포는 내가 알고 싶은 확률을 말하고 q 분포는 p 분포를 근사한 approximation 분포이다. 이런 과정이 필요한 이유는 바로 계산이 불가능하기 때문이다. 사후 확률을 바로 계산하려면 p(x), p(z), p(x,z)를 알아야되지만 z 정보가 없기 때문이다.
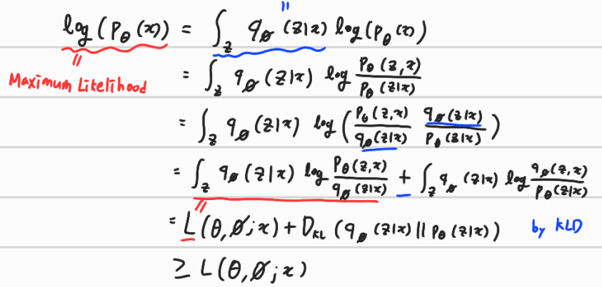
KLD를 최소화 하기 위한 식은 다음과 같다.

그리고 이 식을 풀어쓰면 다음과 같다.

D_KL 이 최소화 되는 점을 찾아야 된다는 것을 풀어쓴 식으로 이해하면 된다.
첫 줄에 적분 값은 1로 좌변에 1을 곱해준 것과 같다. 그리고 이를 조건부 확률로 변환한다. 그리고 chain rule을 이용하고 log이므로 전개가 가능하므로 +를 해준다. 4번째 줄에 존재하는 빨간색 줄을 L이라고 하고(좌변과 동일) , + 이후에 있는 식을 KLD에 의해 나타내진다.
이 떄 L로 표시된 부분을 Lower bound 또는 ELBO라고 부른다. 좌변의 maximum likelihood는 항상 음수의 값을 가지고 )p(x)가 0~1), KLD는 항상 양수의 값을 가진다. 따라서 ELBO는 음수의 값이 된다.
이에 따라 KLD 최소화 문제를 ELBO를 최대화 하는 문제로 변환할 수 있다.
논문에서의 정리된 식은 다음과 같다.

이를 유도하는 과정은 다음과 같다.
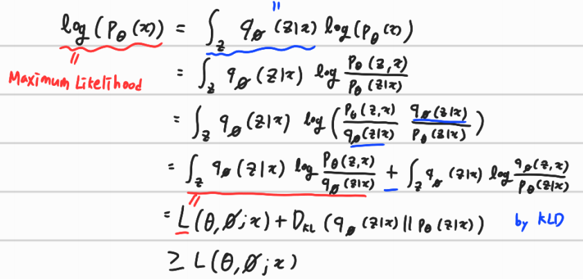
먼저 equation(2)를 보면

이렇게 정리되는데 이를 풀어쓰면

이렇게 정리된다. 이는 기대값에 의해 정리되는데 이 식은 몬테카를로 식으로 L의 값이 계산 가능하다.
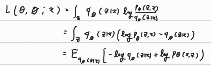
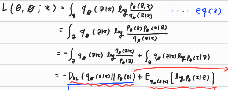
그리고 이 식을 다른 방식으로 풀면 식(3)이 유도된다.

두번째 식에서 조건부 확률로 쓰고 KLD를 도출한 다음에 equation(2) 와 같은 방법으로 기대값을 도출한다.
KLD는 수학계산이 가능하므로 variance를 줄일 수 있다. 그래서 이는 Regularization역할이 가능하다. 그리고 기대값 E는 Reconstruction error라고 불리우며 자기 자신을 얼마나 잘 복원시켰는지 측정하는 역할을 한다.
equation(2)를 몬테카를로 estimation에 적용하면 다음과 같은 식을 도출할 수 있다.

l개 만큼 샘플링한 값은 q 분포를 따르고 z들에 대해선 loss 값을 계산할 수 있다.
equation(3)도 (2)와 같은 방식으로 풀어진다.

## SGVB(Sochastic Gradient Variational Bayes)

p(z)는 평균이 0인 분포를 따르고 q는 가우시안 분포를 따른다. J 는 z의 차원이다.
이는 KLD를 푸는 공식으로 알고 생각하고 넘어가면 된다.
'논문 정리' 카테고리의 다른 글
| Unpaired Image-to-Image Translation using Cycle-Consistent Adversarial Networks(CycleGAN) (0) | 2021.04.29 |
|---|---|
| Generative Adversarial Nets(GAN) (2) | 2021.04.04 |
| Deep Residual Learning for Image Recognition(ResNet) (4) | 2021.03.13 |
| Towards open set deep networks (4) | 2021.01.20 |
| YOLOv5 - training & test (23) | 2020.09.27 |
댓글